TAFSM

Team for Advanced Flow Simulation and Modeling



Home

Research Overview

Research Highlights

Projects

Takizawa Lab

Undergraduate Research

TAFSM Featured

TAFSM Recognized

Publication, Preprints

Currrent Team Members

Collaborators, Ex-Members

AHPCRC, History

Links

Next FSI short course

For more information:
  tezduyar@gmail.com

Multiscale Selective Stabilization Procedure

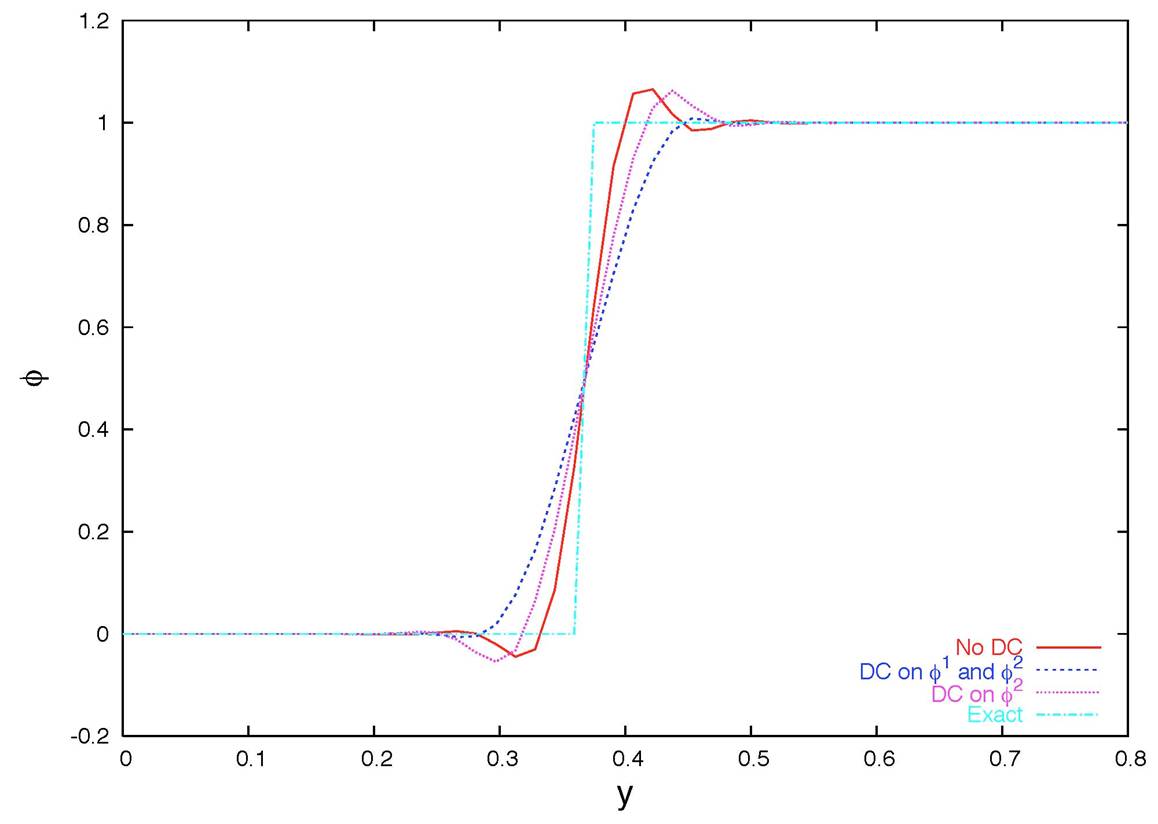
Enhanced-Discretization Selective Stabilization Procedure (EDSSP) [1-4] provides a multiscale framework for applying stabilization selectively at different scales. It is based on the multiscale function concept of the Enhanced-Discretization Successive Update Method (EDSUM) [1-3, 5-6]. The EDSUM was designed for computation of the flow behavior at small scales. It can transfer flow information between the large and small scales without assuming that the small-scale trial or test functions vanish at the borders between the neighboring large-scale elements. This facilitates movement of small-scale flow patterns from one large-scale element to another without any constraints at the border between the two elements. The multiscale function concept of the EDSUM can also facilitate using different stabilizations for different scales. The EDSSP was introduced based on this selective stabilization approach [1-4]. In one version of the EDSSP, while the SUPG and PSPG stabilizations are used for both the large and small scales, the discontinuity-capturing (DC) is used for only the small scales. We also proposed a version where a linear DC is used for the small-scales and a nonlinear one for the large-scales [4].

Fig. 1. 2D steady-state advection with a discontinuity skew to the mesh. Solutions obtained with no DC [left], nonlinear DC applied to both the large and small scales [middle], and nonlinear DC applied to only the small scales [right].


Fig. 2. 2D steady-state advection with a discontinuity skew to the mesh. Solutions obtained with no DC [No DC], nonlinear DC applied to both the large and small scales [DC on f^1 and f^2], and nonlinear DC applied to only the small scales [DC on f^2].

References

1. T.E. Tezduyar, "Stabilized Finite Element Methods for Flows with Moving Boundaries and Interfaces", HERMIS: The International Journal of Computer Mathematics and its Applications, 4 (2003) 63-88

2. T.E. Tezduyar, "Moving Boundaries and Interfaces", Finite Element Methods: 1970's and Beyond (eds. L.P. Franca, T.E. Tezduyar and A. Masud), CIMNE, Barcelona (2004) 205-220.

3. T.E. Tezduyar and S. Sathe, "Enhanced-Discretization Successive Update Method (EDSUM)", International Journal for Numerical Methods in Fluids, 47 (2005) 633-654.

4. T.E. Tezduyar and S. Sathe, "Enhanced-Discretization Selective Stabilization Procedure (EDSSP)", Computational Mechanics, published online, March 2006.

5. T.E. Tezduyar, "Finite Element Methods for Flow Problems with Moving Boundaries and Interfaces", Archives of Computational Methods in Engineering, 8 (2001) 83-130.

6. T.E. Tezduyar, "Finite Element Methods for Fluid Dynamics with Moving Boundaries and Interfaces", Chapter 17 in Encyclopedia of Computational Mechanics, Volume 3: Fluids (eds. E. Stein, R. De Borst and T.J.R. Hughes), John Wiley & Sons (2004).